首页> alevel资讯> A-Level数学篇:探究分部积分的奥秘

A-Level数学篇:探究分部积分的奥秘

发布时间:2022-06-27 19:02:45 人气: 作者:admin 人已围观本文有578个文字,大小约为2KB,预计阅读时间2分钟

A-Level数学篇:探究分部积分的奥秘

这堂课我们继续从实践中感受积分的魅力。

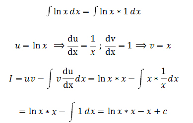
  案例一:  

∫㏑xdx,这是一个分部积分的经典案例,第一眼看到这个题目,大部分同学应该都不会想到分部积分,因为我们都知道uv法更多时候适用于包含两种不同函数的情况,但㏑x很明显是单一函数。那么我们就来创造第二种类型的函数:

 

那么很简单的,看似毫无头绪的题目,也有了很容易的解法。

 

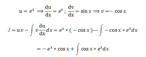
  案例二:  

∫ex*sinxdx,首先应用我们的优先级原理,ex是“指”,sinx是“三”,所以:

 

再次运用uv法:

 

这种情况下我们需要应用两次分部积分,第二次积分后得到的等式中包含有最初的积分函数I,所以我们将两边同时改写成包含I的方程,最后得到积分结果。

 

这种情况我们称之为积分的循环,进行了两次积分之后,回到原来的积分从而得出解。

 

那么就有同学要问了,老师有可能会有进行更多次的分部积分吗?答案是肯定的。

 

例如:∫x³*exdx,利用优先级,ex是“指”,x³是“幂”,所以u=x³。

 

那么这道题呢就需要进行三次分部积分从而得出解。

本文地址:https://guoji.xhd.cn/alevel/4151.html

本文标题:A-Level数学篇:探究分部积分的奥秘

版权信息:本文由上海新航道小编撰写,编辑,发布,禁止抄袭转载,如有侵权请及时联系站长及时删除!

推荐度:赞赞赞赞赞

返回列表
立即领取免费资料

免费领取:部分上海A类国际学校入学测试模拟题,AMC8/10/12真题测试卷;等国际学校备考资料。

留下表单信息,老师会及时与您联系

看校/择校展择校规划预约

备考产品

新闻资讯

  • 专注服务6-12年级
  • 专注沪上国际学校备考
  • 专业择校建议
  • 个性化备考方案
  • 分层授权提分科学
  • 良好院校关系