发布时间:2022-07-10 23:42:25 人气: 作者:admin 人已围观本文有578个文字,大小约为2KB,预计阅读时间2分钟
在Edexcel A-Level Physics Topic 2A中,我们第一次学习到了Terminal velocity(自由沉降速度),也称为终端速度。
【指任一颗粒的沉降不因流体中存在其他颗粒而受到干扰时,在等速阶段里颗粒相对于流体的运动速度,即加速阶段终了时颗粒相对于流体的速度。】
或者按照课本中给出的定义,即The velocity of a falling object when its weight is balanced by the sum of the drag and upthrust acting on it.
我们从这句话中可以看到的关系式:

其中的stokes' force等于6πrηv,那么上面的式子就可以简写为:

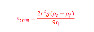
也就是说在我们求解有关terminal velocity有关的题目时,我们需要重点关注的是一个在流体中运动的物体达到constant velocity(匀速运动时)这个物体的受力平衡情况。这一类型的题目在考试真题中时有出现,但很多同学在学习时只是记住了stokes law或者只是仅仅记住了书上推导一个球体在流体中的terminal velocity的最终表达式。
这个表达式是:

我们明显可以看到上面的式子是非常复杂而且其中还包含了不少下标和缩写,假如你记错了其中的任意一个量,那么你最后求出来的值肯定是和答案不一致的。不仅如此,在有些题目中还会特意标注出物体所受的upthrust是忽略不计的,那么在这种题目中你不仅结果是错的,更重要的是你题目都没有审清楚,直接套推导公式会一分都拿不到!
那么下面我们就来实际看一道有关terminal velocity的题目,看看他的解题key point是不是分析物体在流体中达到匀速运动时的受力情况,再据此求出terminal velocity (Vterm)。
小试牛刀
Q: Soil is usually made up of a variety of particles of different sizes. The photograph shows what happens when soil mixed up with water and the particles are allowed to settle.
A typical particle of sand in the sample has the following properties :

Calculate the steady downwards speed this particle would achieve if allowed to fall through water.

名师讲解
我们读完题后,可以发现这道题的核心其实就是在求terminal velocity,固体小颗粒在液体中达到steady speed后一共会受到三个力的作用。

即W=U+D,在这三个力的共同作用下,固体小颗粒达到了受力平衡状态,那么根据这个受力平衡公式我们就可以列出下式:

将题目中所给的数据带入上式中,即可得

由此我们可以看到,在求解terminal velocity的相关题目时,解题的关键点还是对物体的受力分析做到位,这样才能顺利求解出正确的答案。同时也告诉各位备考的同学们,要想在物理考试中取得理想的成绩,书上的推导过程也一定要认真看哦!
本文地址:https://guoji.xhd.cn/alevel/4336.html
本文标题:A-Level物理篇:Terminal velocity自由沉降速度
版权信息:本文由上海新航道小编撰写,编辑,发布,禁止抄袭转载,如有侵权请及时联系站长及时删除!
推荐度:




免费领取:部分上海A类国际学校入学测试模拟题,AMC8/10/12真题测试卷;等国际学校备考资料。
留下表单信息,老师会及时与您联系





