首页> 备考资料> 上海国际学校7年级升8年级插班数学测试卷-答案(英文版)

上海国际学校7年级升8年级插班数学测试卷-答案(英文版)

发布时间:2022-04-23 14:32:24 人气: 作者:admin 人已围观本文有578个文字,大小约为2KB,预计阅读时间2分钟

上海国际学校7年级升8年级插班数学测试卷-答案(英文版)

近期给大家更新了一批 上海国际学校各个年级中文数学插班测试卷,如有需要的长期关注我们 上海新航道国际学校备考资料栏目 

我们目前更新的有: 

上海国际学校6年级升7年级插班数学测试卷-答案(英文版)

上海国际学校8年级升9年级插班数学测试卷-答案(英文版)

上海国际学校9年级升10年级插班数学测试卷-答案(英文版)

上海国际学校10年级升11年级插班数学测试卷-答案(英文版)

等。。。

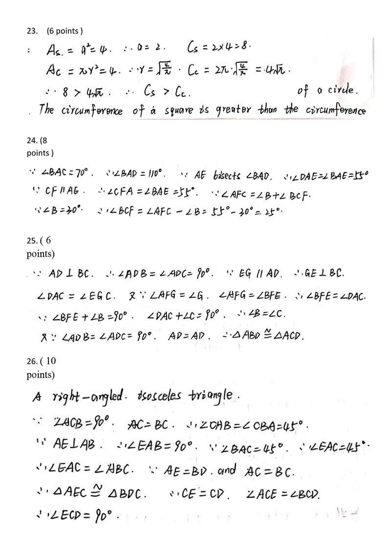
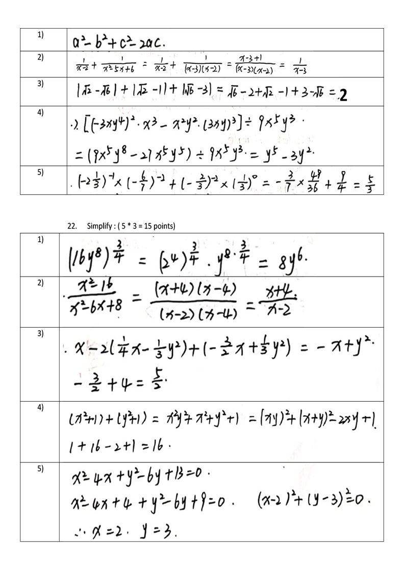
今天给大家带来了“上海国际学校7年级升8年级插班数学测试卷-答案(英文版)”备考资料还在持续更新中,有需要的关注起来。。。

本文地址:https://guoji.xhd.cn/bkzx/3644.html

本文标题:上海国际学校7年级升8年级插班数学测试卷-答案(英文版)

版权信息:本文由上海新航道小编撰写,编辑,发布,禁止抄袭转载,如有侵权请及时联系站长及时删除!

推荐度:赞赞赞赞赞

返回列表
立即领取免费资料

免费领取:部分上海A类国际学校入学测试模拟题,AMC8/10/12真题测试卷;等国际学校备考资料。

留下表单信息,老师会及时与您联系

看校/择校展择校规划预约

备考产品

新闻资讯

  • 专注服务6-12年级
  • 专注沪上国际学校备考
  • 专业择校建议
  • 个性化备考方案
  • 分层授权提分科学
  • 良好院校关系