首页> 国际竞赛> 英国物理竞赛bpho难度如何?

英国物理竞赛bpho难度如何?

发布时间:2022-11-24 16:31:34 人气: 作者:admin 人已围观本文有578个文字,大小约为2KB,预计阅读时间2分钟

英国物理竞赛bpho难度如何?

BPhO竞赛非常注重物理知识的灵活运用,全部的试题为证明题。同学们需要运用自己所学物理知识完成挑战,其涉及的知识点非常广泛,挑战不要求同学们完成所有试题,而是鼓励同学们根据自己兴趣和学习范围选择完成自己擅长的部分。

不同年级同学可以参加BPhO竞赛的不同级别赛,非常考察学生的知识广度与深度。

Junior Challenge简单,但Round 1具有一定难度,过了Round 1,还有Round 2。如果是为大学申请参加比赛,建议掌握A-level物理内容,适当向大学物理拓展。基于知识点,多做一些类型题练习。BPhO Round 2的模式本身不是很固定,建议大家平时尽可能扩展物理知识面。低年级的同学们可以报名参加高年级的比赛项目,比如大约10%的Round 1报名者是来自AS年级。

 

BPhO竞赛参赛优势

和牛剑笔试面试题相关度高:

根据以往参赛学生笔试面试的经验,很多竞赛题直接在牛津剑桥的笔面试题里出现的概率还高的。BPhO考试里出现的题型,变了形式出现在牛剑笔试中。

 

锻炼学术能力:

在申请学校的时候,非常重要的一项准备就是学术能力,那么该如何去锻炼自己的学术能力呢?可以说,对于大部分理科,学科竞赛是锻炼学术能力行之有效的方式之一。

 

BPHO竞赛成绩全球认可:

参加BPhO不但能丰富学生的简历,还可以助力学生申请海外大学。该奖项的评分原则的优势是:其他国家学生成绩不按照总分排名比例,而是直接参照获奖分数线来决定是否得奖。在申请学校的时候,如果有BPhO竞赛成绩及排名将会是不错的一个加分项。

 

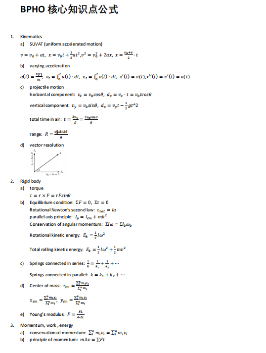
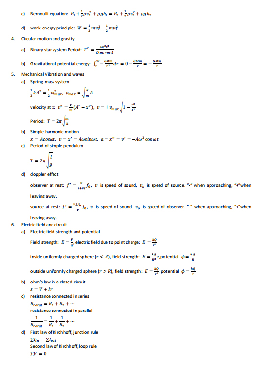
BPhO竞赛常用公式分享

和其他竞赛一样,BPHO没有大纲,其考查的知识大部分都属于高中物理知识范畴,少量属于大学物理中比较基础的知识范畴。

“超纲”的知识多数都是高中物理竞赛常考且必须掌握的知识。此外,物理竞赛中大量运用求导、积分运算和求解常微分方程。

本文地址:https://guoji.xhd.cn/gjjs/5493.html

本文标题:英国物理竞赛bpho难度如何?

版权信息:本文由上海新航道小编撰写,编辑,发布,禁止抄袭转载,如有侵权请及时联系站长及时删除!

推荐度:赞赞赞赞赞

返回列表
立即领取免费资料

免费领取:部分上海A类国际学校入学测试模拟题,AMC8/10/12真题测试卷;等国际学校备考资料。

留下表单信息,老师会及时与您联系

看校/择校展择校规划预约

备考产品

新闻资讯

  • 专注服务6-12年级
  • 专注沪上国际学校备考
  • 专业择校建议
  • 个性化备考方案
  • 分层授权提分科学
  • 良好院校关系