首页> 国际竞赛> bpho英国物理挑战赛真题答案

bpho英国物理挑战赛真题答案

发布时间:2022-11-25 16:04:12 人气: 作者:admin 人已围观本文有578个文字,大小约为2KB,预计阅读时间2分钟

bpho英国物理挑战赛真题答案

Bpho物理竞赛round1 2022年考试已落下帷幕,试题和答案解析已经帮大家准备好。

今年BPhO的题目难度提升到了新高度,而且还非常考验同学们的英语阅读能力、做题速度。近20页的题让同学们也是身心俱疲。

 

先还是来看下今年的题目与解析:

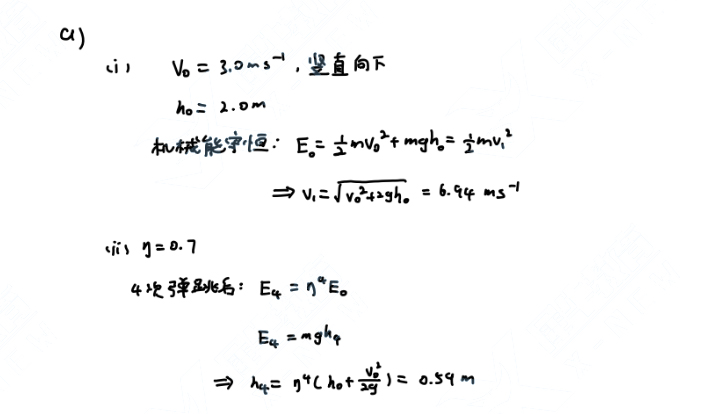
Section 1-a

题目:

一个钢球以30ms-1的速度从2.0m的高度扔到坚硬的表面上。它在每次反弹时保留了70%的能量。计算:

(i) 物体第一次落地时的速度; 

(ii) 物体在反弹4次后达到的最大高度。

答案:

 

Section 1-b

题目:

一个长途自行车手使用的自行车电脑是双动力的:它有一个内部电池和一个太阳能电池板。当骑自行车的人在阳光直射下骑车时,电脑上的太阳能电池板提供的能量相当干电能消耗的1/3。如果一个充满电的自行车电脑可以在晚上骑10个小时。计算充满电的电脑在阳光直射下能运行多长时间。

答案:

 

Section 1-c

题目:

一个长途自行车手使用的自行车电脑是双动力的:它有一个内部电池和一个太阳能电池板。当骑自行车的人在阳光直射下骑车时,电脑上的太阳能电池板提供的能量相当干电能消耗的1/3。如果一个充满电的自行车电脑可以在晚上骑10个小时。计算充满电的电脑在阳光直射下能运行多长时间。

答案:

 

Section 1-g

题目:

圆柱体内装着n种不同体积的液体,这些液体形成水平层,每层的高度为h。每个液体容器的曲面面积为A。

(i)给出力F1的表达式;对顶部液体周围的面积p,g,h,A的影响。

(ii)在围绕第二液体的表面A上的力F1是多少?

(iii)给出对圆柱体底部Fn液体表面A第n小块的液体,底部的压力F1的表达式?

答案:

 

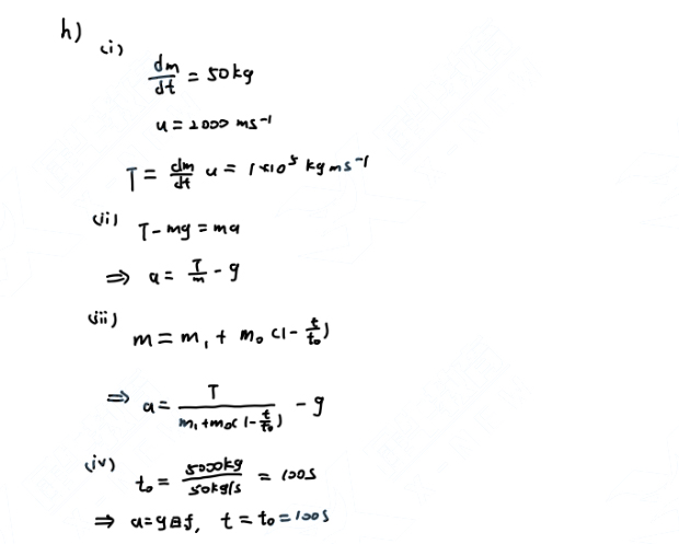
Section 1-h

题目:

质量为m1=5000kg的火箭含有质量为m0=5000kg的燃料。一旦燃料被点燃。以2000ms的速度向下排出50kg/s的热气。

(i)计算火箭的推力T。

(ii)求火箭加速度a的表达式,用总质量m,T,g表示。

(iii)求出火箭加速度与时间的函数t的表达式,给定T,g,mt,m0和推力作用的总时间t0。

(iv)计算发射后宇航员的体重翻倍的时间。

答案:

 

Section 1-s

题目:

双星系统距离地球 2140光年,由两颗像太阳一样的恒星组成。恒星之间的平均距离是0.00593 光年。如果使用 550 可见波长,请确定分辨它们所需的放大镜直径。

答案:

BPhO竞赛已经结束,很多同学们可以开始准备2023年3月举行物理碗竞赛。同学们在进行物理碗竞赛备考时,要做认真的备考.

本文地址:http://guoji.xhd.cn/gjjs/5501.html

本文标题:bpho英国物理挑战赛真题答案

版权信息:本文由上海新航道小编撰写,编辑,发布,禁止抄袭转载,如有侵权请及时联系站长及时删除!

推荐度:赞赞赞赞赞

返回列表
立即领取免费资料

免费领取:部分上海A类国际学校入学测试模拟题,AMC8/10/12真题测试卷;等国际学校备考资料。

留下表单信息,老师会及时与您联系

看校/择校展择校规划预约

备考产品

新闻资讯

  • 专注服务6-12年级
  • 专注沪上国际学校备考
  • 专业择校建议
  • 个性化备考方案
  • 分层授权提分科学
  • 良好院校关系