首页> 国际竞赛> 英国SMC数学竞赛真题 (2021-2022)

英国SMC数学竞赛真题 (2021-2022)

发布时间:2022-12-14 16:38:16 人气: 作者:admin 人已围观本文有578个文字,大小约为2KB,预计阅读时间2分钟

英国SMC数学竞赛真题 (2021-2022)

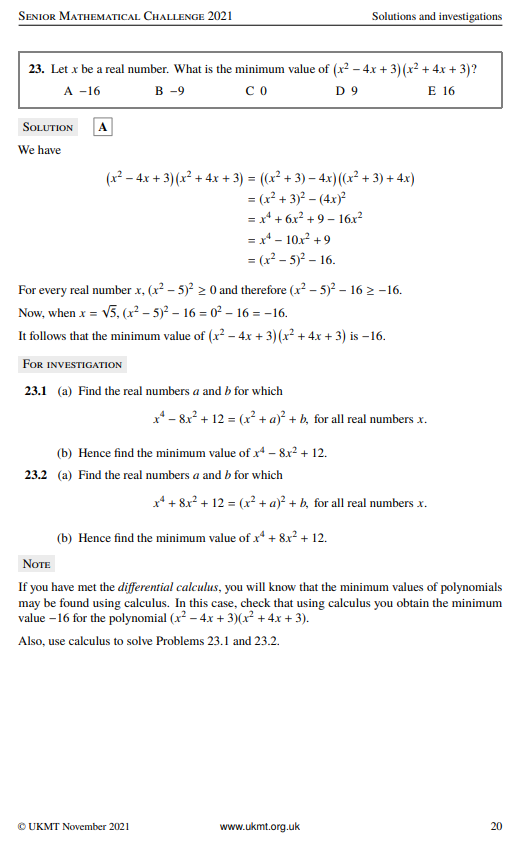
2021年真题及答案

 

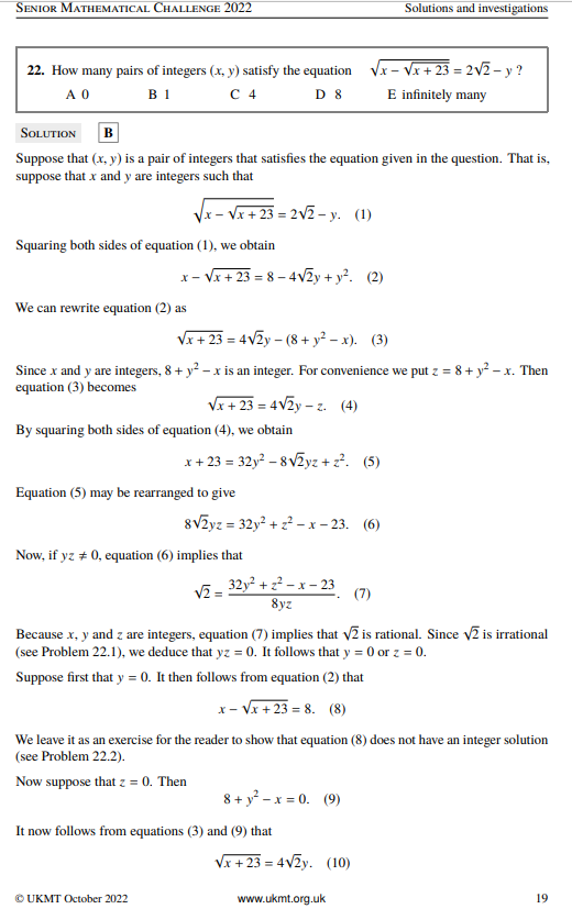
2022年真题及答案

 

本文地址:http://guoji.xhd.cn/gjjs/5692.html

本文标题:英国SMC数学竞赛真题 (2021-2022)

版权信息:本文由上海新航道小编撰写,编辑,发布,禁止抄袭转载,如有侵权请及时联系站长及时删除!

推荐度:赞赞赞赞赞

返回列表
立即领取免费资料

免费领取:部分上海A类国际学校入学测试模拟题,AMC8/10/12真题测试卷;等国际学校备考资料。

留下表单信息,老师会及时与您联系

看校/择校展择校规划预约

备考产品

新闻资讯

  • 专注服务6-12年级
  • 专注沪上国际学校备考
  • 专业择校建议
  • 个性化备考方案
  • 分层授权提分科学
  • 良好院校关系