发布时间:2022-03-07 14:54:07 人气: 作者:admin 人已围观本文有578个文字,大小约为2KB,预计阅读时间2分钟
1月Edexcel的大考成绩新鲜出炉~
锦秋学院迅速对高数的部分模块考卷进行分析,让我们来做好回顾与总结。
首先我们来看一下纯数部分。
FP1
FP1作为整个高数最简单的模块今年可以说是基本稳定发挥,以相对的低难度的检验水平保证刚刚踏入高数的考生们得到一个学习的信心。
从本次的考试题目来看,学生只需要掌握好书上例题和历年真题,基本都可以得到一个满意的成绩。
从锦秋这次成绩来看,有90%的学生能够得到A,还是非常理想的一个情况。
但是,下图的题目我们需要注意一下
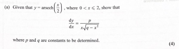
例:

在这个题目中,我们会发现有f(1)f(2)<0,f(3)f(4)<0, 根据惯性思维,我们会觉得至少有两个根,但是题目明确的提醒了我们“has exactly one positive root”,所以我们要考虑到渐近线的情况。
FP2
大部分学生会选FP2作为高数A2模块,从锦秋这次成绩来看,有50%的学生能够得到A,说明FP2还是有相当难度的。
这次很多学生考下来觉得比较难,主要反馈难的地方是以下两个题目。
例1:

很多学生觉得这个图像很难画,之前我们上课的时候都会强调sin nθ cos nθ,会使图像有n个周期,并且我们可以去特殊值来帮助自己精确画图,因此我们会得到以下图像。

例2:

有些学生看到这个题目的时候也觉得无从下手,其实老师在讲到y=tan-1x的微分时,会说到利用反函数转化成x=tan y来解题,那这一题就是用到了统一解题思路。
FP3
这次FP3把很多考生整破防了,大量的计算让考生们在考场上一刻不停。
从锦秋这次成绩来看,有20%的学生能够得到A,100%的学生都得到了B,说明FP3基础一点的题目比较容易拿分,但是拔高题让学生难以得到高分。
那问题比较多的就是下面三题。
例1:

这题的难点大多数学生在用积分计算表面积的时候卡在了根号里的式子化简上,另外还要注意的是这里求的是total surface,所以考生要记得加上的圆形上下面积。
例2

这一题和FP2里面一样,也是利用反函数的方法来解题。
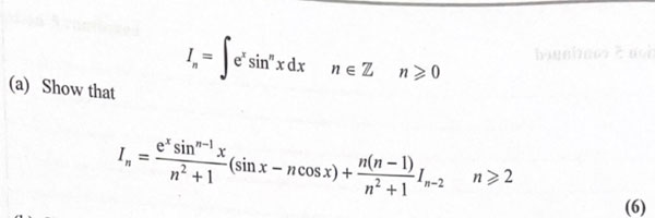
例3:

这一题是典型的reduction formula的题型,学生在这里主要是被三角函数的转换和大量的计算难倒,所以说,学生在写题的时候可以多分几块解题,最后合并使的式子不用那么长而导致抄写错误。
D1
D1今年也是基本没有新题型,学生在复习这一模块的时候要做好第一章第二章算法,定义的背诵以及后几章算法的熟练操纵,考试的时候不要马虎,基本还是比较容易得A的。
以上就是1月份大考高数模块的详细考情。
爱德思2022年夏季考试日程
2022年爱德思考试局安排也已经公布,同学们要根据自己的情况安排复习和考试。
2022报名时间
2022.3.21:IG、IAL与其他国际证书第一批报名截止
2022.3.22:开始收取晚报名费
2022.4.23:将开始收取更高晚报名费
2022.8.18:IAL放榜(与英国同一天)
2022.8.25:IG放榜(与英国同一天)
2022考试时间
爱德思考试时间:5月9日-6月16日
详细考试安排



本文地址:https://guoji.xhd.cn/hwsh/3198.html
本文标题:收藏!爱德思A-level放榜!高数部分模块一手考情分析来啦~
版权信息:本文由上海新航道小编撰写,编辑,发布,禁止抄袭转载,如有侵权请及时联系站长及时删除!
推荐度:




免费领取:部分上海A类国际学校入学测试模拟题,AMC8/10/12真题测试卷;等国际学校备考资料。
留下表单信息,老师会及时与您联系





